Publisher Home
News
Journals
About Us
VNUHCM Journal of
Engineering and Technology
An official journal of Viet Nam National University Ho Chi Minh City, Viet Nam since 2018
ISSN 2615-9872
Please enable JavaScript to view the
comments powered by Disqus.
Skip to main content
Skip to main navigation menu
Skip to site footer
VNUHCM Journal of Engineering and Technology
Home
Current Issue
Archives
Journal Information
Announcements
About the Journal
Editorial Team
Editorial Policies
Peer Review Process
Indexing & Abstracting
Focus and Scope
Scientific Manager
Publication Frequency
CrossMark Policy
Open Access Policy
Contact
For Authors
HƯỚNG DẪN SỬ DỤNG (Cho tác giả Việt Nam/For Vietnamese authors)
Manuscript guidelines
Publication ethics
Privacy Statement
Copyright Notice
Advertising Policies
Policies on Conflict of Interest
Author Fees
Submit
Search
Search
Register
Login
Home
/
Archives
/
Vol 6 No 2 (2023)
Published:
2023-06-30
Research article
Decentralized space vector pulse width modulation method for multilevel single-phase half bridge converters
Phu Cong NGUYEN, Quoc Dung Phan, Dinh Tuyen NGUYEN
1855-1867
HTML
: 992 | PDF
: 589 |
HTML
PDF
Improvement on manufacturing processing time of AAC Block
Cam Minh Nguyen, Luu Thanh Tung
1868-1875
HTML
: 1470 | PDF
: 519 |
HTML
PDF
A probability-based artificial potential field for autonomous vehicles in avoiding uncertain obstacles
Phan Minh Tam, Ho Pham Huy Anh
1876-1883
HTML
: 851 | PDF
: 524 |
HTML
PDF
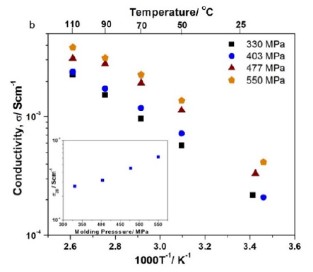
Synthesis of Na3SbS4 solid electrolyte from aqueous solution and its application in solid state rechargeable batteries
Tran Anh Tu, Pham Tan Thi, Nguyen Huu Huy Phuc
1884-1890
HTML
: 1189 | PDF
: 547 |
HTML
PDF
Passivity - based control using genetic algorithm for a DC-DC boost power converter
Minh Ngọc Huỳnh, Hoài Nghĩa Dương, Vĩnh Hảo Nguyễn
1891-1905
HTML
: 1303 | PDF
: 507 |
HTML
PDF
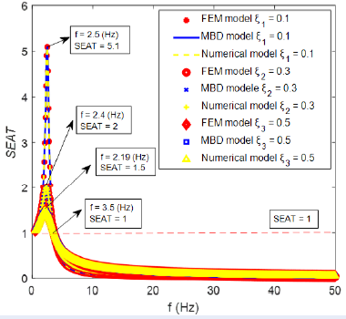
Application of simulation methods on vibration analysis of a bus driver seat using the quarter car 3DOF model subjected under harmonic excitation
TRAN Huu Nhan, Pham Ngoc Dai
1906-1916
HTML
: 1177 | PDF
: 426 |
HTML
PDF
ISSN:
2615-9872
DOI Prefix
:
10.32508
Indexed:
Google Scholar
,
Vietnam Citation Index
Keywords
Current Issue
Advertisement